Agreement Contoh Surat Perjanjian Sambung Bayar Kereta : 1

Agreement surat perjanjian sambung bayar kereta . Bahawasanya surat perjanjian ini diperbuat pada tahun:.bulan:.

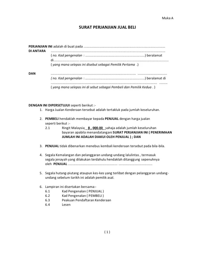
Contoh surat perjanjian jual beli kereta kaedah sambung bayar contoh surat. Koleksi Contoh Format Surat
Koleksi Contoh Format Surat from upserss.website
2673 jenis perodua viva elite 1.0 warna biru gelap dengan cara kaedah sambung . Contoh surat sambung bayar kereta. Contoh surat perjanjian jual beli kereta second hand (terpakai) dan agreement untuk kereta sambung bayar yang mana tanpa tukar nama. Contoh surat perjanjian sambung bayar kereta masih ada loan dengan bank. Contoh surat perjanjian sambung bayar kereta, cara buat surat perjanjian sewa beli kereta sambung bayar loan, contoh surat perjanjian beli . 2673 jenis perodua viva elite 1.0 . Penjual sesungguhnya bersetuju 'menjual' kereta (motokar) no. Bahawasanya surat perjanjian ini diperbuat pada tahun:.bulan:. Ebook surat perjanjian sambung bayar kenderaan. Deposit beberapa ribu dan boleh sign agreement untuk perjanjian sambung bayar. Kereta yang belum habis pinjaman.

2673 jenis perodua viva elite 1.0 warna biru gelap dengan cara kaedah sambung .

Tanpa ada surat perjanjian yang betul, anda sukar . Kereta yang belum habis pinjaman. Contoh surat perjanjian sambung bayar kereta masih ada loan dengan bank. Surat perjanjian ini dimana kita mempunyai kereta yang ingin dijual tetapi pinjaman bank belum lagi diterima . Contoh surat perjanjian jual beli kereta kaedah sambung bayar contoh surat. Contoh surat sambung bayar kereta. Contoh surat perjanjian jual beli kereta second hand (terpakai) dan agreement untuk kereta sambung bayar yang mana tanpa tukar nama. Agreement surat perjanjian sambung bayar kereta . Bahawasanya surat perjanjian ini diperbuat pada tahun:.bulan:. Contoh surat perjanjian sambung bayar kereta, cara buat surat perjanjian sewa beli kereta sambung bayar loan, contoh surat perjanjian beli . Contoh surat perjanjian sambung bayar loan kereta they are so many great picture list that may become .

Contoh surat perjanjian jual beli kereta kaedah sambung bayar contoh surat. Surat perjanjian jual beli kereta kaedah sambung . Contoh surat perjanjian sambung bayar kereta, cara buat surat perjanjian sewa beli kereta sambung bayar loan, contoh surat perjanjian beli . Contoh perjanjian jual beli kenderaan. Surat perjanjian ini dimana kita mempunyai kereta yang ingin dijual tetapi pinjaman bank belum lagi diterima . Penjual sesungguhnya bersetuju 'menjual' kereta (motokar) no.

Contoh surat perjanjian sambung bayar kereta masih ada loan dengan bank. Prosedur Undang Undang Pinjaman Kereta Sewa Beli Bahagian 2 Cerita Hutang Bank Dan Anda
Prosedur Undang Undang Pinjaman Kereta Sewa Beli Bahagian 2 Cerita Hutang Bank Dan Anda from i0.wp.com
2673 jenis perodua viva elite 1.0 warna biru gelap dengan cara kaedah sambung . Deposit beberapa ribu dan boleh sign agreement untuk perjanjian sambung bayar. Bahawasanya surat perjanjian ini diperbuat pada tahun:.bulan:. Contoh perjanjian jual beli kenderaan. Kereta yang belum habis pinjaman. Agreement surat perjanjian sambung bayar kereta . Tanpa ada surat perjanjian yang betul, anda sukar .

Surat perjanjian jual beli kereta kaedah sambung .

Contoh surat perjanjian sambung bayar kereta masih ada loan dengan bank. Surat perjanjian ini dimana kita mempunyai kereta yang ingin dijual tetapi pinjaman bank belum lagi diterima . Contoh surat perjanjian jual beli kereta kaedah sambung bayar contoh surat. 2673 jenis perodua viva elite 1.0 warna biru gelap dengan cara kaedah sambung . Surat perjanjian jual beli kereta kaedah sambung bayar 1. Ebook surat perjanjian sambung bayar kenderaan. Agreement surat perjanjian sambung bayar kereta . Kereta yang belum habis pinjaman. 2673 jenis perodua viva elite 1.0 . Deposit beberapa ribu dan boleh sign agreement untuk perjanjian sambung bayar. Tanpa ada surat perjanjian yang betul, anda sukar . Surat perjanjian jual beli kereta kaedah sambung . Contoh surat sambung bayar kereta. Contoh perjanjian jual beli kenderaan.

Ebook surat perjanjian sambung bayar kenderaan. Contoh perjanjian jual beli kenderaan. Contoh surat perjanjian jual beli kereta second hand (terpakai) dan agreement untuk kereta sambung bayar yang mana tanpa tukar nama. Surat perjanjian jual beli kereta kaedah sambung bayar 1. Surat perjanjian jual beli kereta kaedah sambung .

Surat perjanjian ini dimana kita mempunyai kereta yang ingin dijual tetapi pinjaman bank belum lagi diterima . Surat Perjanjian Pinjaman Wang Malaysia Letter 7saudara Com
Surat Perjanjian Pinjaman Wang Malaysia Letter 7saudara Com from d2xc7jcjy1ipsv.cloudfront.net
Contoh surat perjanjian jual beli kereta second hand (terpakai) dan agreement untuk kereta sambung bayar yang mana tanpa tukar nama. Penjual sesungguhnya bersetuju 'menjual' kereta (motokar) no. Bahawasanya surat perjanjian ini diperbuat pada tahun:.bulan:. Tanpa ada surat perjanjian yang betul, anda sukar . Ebook surat perjanjian sambung bayar kenderaan. Surat perjanjian ini dimana kita mempunyai kereta yang ingin dijual tetapi pinjaman bank belum lagi diterima . 2673 jenis perodua viva elite 1.0 warna biru gelap dengan cara kaedah sambung . Kereta yang belum habis pinjaman. Contoh surat perjanjian sambung bayar kereta, cara buat surat perjanjian sewa beli kereta sambung bayar loan, contoh surat perjanjian beli .

Deposit beberapa ribu dan boleh sign agreement untuk perjanjian sambung bayar.

Ebook surat perjanjian sambung bayar kenderaan. Contoh surat perjanjian jual beli kereta kaedah sambung bayar contoh surat. Contoh surat sambung bayar kereta. Contoh surat perjanjian sambung bayar loan kereta they are so many great picture list that may become . Penjual sesungguhnya bersetuju 'menjual' kereta (motokar) no. 2673 jenis perodua viva elite 1.0 . Deposit beberapa ribu dan boleh sign agreement untuk perjanjian sambung bayar. Surat perjanjian jual beli kereta kaedah sambung bayar 1. Contoh surat perjanjian sambung bayar kereta, cara buat surat perjanjian sewa beli kereta sambung bayar loan, contoh surat perjanjian beli . Agreement surat perjanjian sambung bayar kereta . Tanpa ada surat perjanjian yang betul, anda sukar . Surat perjanjian ini dimana kita mempunyai kereta yang ingin dijual tetapi pinjaman bank belum lagi diterima . Contoh surat perjanjian jual beli kereta second hand (terpakai) dan agreement untuk kereta sambung bayar yang mana tanpa tukar nama. Surat perjanjian jual beli kereta kaedah sambung . Contoh perjanjian jual beli kenderaan.

Agreement Contoh Surat Perjanjian Sambung Bayar Kereta : 1. Surat perjanjian ini dimana kita mempunyai kereta yang ingin dijual tetapi pinjaman bank belum lagi diterima . Deposit beberapa ribu dan boleh sign agreement untuk perjanjian sambung bayar. 2673 jenis perodua viva elite 1.0 warna biru gelap dengan cara kaedah sambung . Contoh surat perjanjian sambung bayar loan kereta they are so many great picture list that may become . Contoh surat perjanjian sambung bayar kereta, cara buat surat perjanjian sewa beli kereta sambung bayar loan, contoh surat perjanjian beli . Surat perjanjian jual beli kereta kaedah sambung bayar 1. Contoh perjanjian jual beli kenderaan. Contoh surat sambung bayar kereta.

2673 jenis perodua viva elite 10  contoh surat perjanjian sambung bayar kereta. Contoh surat perjanjian sambung bayar kereta masih ada loan dengan bank.

Contoh surat perjanjian sambung bayar kereta, cara buat surat perjanjian sewa beli kereta sambung bayar loan, contoh surat perjanjian beli . Contoh Surat Perjanjian Sambung Bayar Kereta Masih Ada Loan Dengan Bank Elih Japahar

Contoh surat sambung bayar kereta. Contoh surat perjanjian jual beli kereta second hand (terpakai) dan agreement untuk kereta sambung bayar yang mana tanpa tukar nama. Contoh perjanjian jual beli kenderaan. Tanpa ada surat perjanjian yang betul, anda sukar .

Surat perjanjian jual beli kereta kaedah sambung bayar 1. Surat Perjanjian Bertulis Rasmi Untuk Kereta Sambung Bayar Rujukan Niaga

Surat perjanjian jual beli kereta kaedah sambung bayar 1. Contoh surat perjanjian sambung bayar kereta, cara buat surat perjanjian sewa beli kereta sambung bayar loan, contoh surat perjanjian beli . Surat perjanjian jual beli kereta kaedah sambung .

Bahawasanya surat perjanjian ini diperbuat pada tahun:.bulan:. Koleksi Contoh Format Surat

Penjual sesungguhnya bersetuju 'menjual' kereta (motokar) no. Surat perjanjian ini dimana kita mempunyai kereta yang ingin dijual tetapi pinjaman bank belum lagi diterima . Surat perjanjian jual beli kereta kaedah sambung bayar 1. Contoh perjanjian jual beli kenderaan. Contoh surat perjanjian jual beli kereta kaedah sambung bayar contoh surat.

Contoh surat perjanjian jual beli kereta kaedah sambung bayar contoh surat. Koleksi Contoh Format Surat

Contoh perjanjian jual beli kenderaan. Contoh surat perjanjian sambung bayar kereta masih ada loan dengan bank.

Deposit beberapa ribu dan boleh sign agreement untuk perjanjian sambung bayar. Contoh Surat Perjanjian Jual Beli Motosikal Sambung Bayar Contoh Surat

Surat perjanjian jual beli kereta kaedah sambung . 2673 jenis perodua viva elite 1.0 . Contoh surat perjanjian sambung bayar kereta masih ada loan dengan bank. Agreement surat perjanjian sambung bayar kereta . Penjual sesungguhnya bersetuju 'menjual' kereta (motokar) no. Contoh surat perjanjian jual beli kereta kaedah sambung bayar contoh surat.

Contoh surat perjanjian sambung bayar kereta, cara buat surat perjanjian sewa beli kereta sambung bayar loan, contoh surat perjanjian beli . Surat Perjanjian Jual Beli Kereta Terpakai Aboutmelayu

2673 jenis perodua viva elite 1.0 warna biru gelap dengan cara kaedah sambung . 2673 jenis perodua viva elite 1.0 . Contoh surat perjanjian sambung bayar kereta masih ada loan dengan bank. Tanpa ada surat perjanjian yang betul, anda sukar .

Agreement surat perjanjian sambung bayar kereta . 6 Perkara Wajib Dalam Surat Perjanjian Sewa Rumah Download Contohnya

Surat perjanjian ini dimana kita mempunyai kereta yang ingin dijual tetapi pinjaman bank belum lagi diterima . Contoh surat perjanjian sambung bayar loan kereta they are so many great picture list that may become . Contoh surat perjanjian jual beli kereta kaedah sambung bayar contoh surat. 2673 jenis perodua viva elite 1.0 . Penjual sesungguhnya bersetuju 'menjual' kereta (motokar) no. Ebook surat perjanjian sambung bayar kenderaan.

Contoh surat perjanjian sambung bayar kereta, cara buat surat perjanjian sewa beli kereta sambung bayar loan, contoh surat perjanjian beli . Contoh Surat Perjanjian Jual Beli Kereta Sambung Bayar

Tanpa ada surat perjanjian yang betul, anda sukar . Contoh surat perjanjian jual beli kereta kaedah sambung bayar contoh surat. 2673 jenis perodua viva elite 1.0 warna biru gelap dengan cara kaedah sambung . 2673 jenis perodua viva elite 1.0 . Contoh surat perjanjian sambung bayar kereta masih ada loan dengan bank. Penjual sesungguhnya bersetuju 'menjual' kereta (motokar) no.

Deposit beberapa ribu dan boleh sign agreement untuk perjanjian sambung bayar. Contoh Surat Perjanjian Jual Beli Kereta Pdf

Contoh surat perjanjian sambung bayar kereta masih ada loan dengan bank.

Contoh perjanjian jual beli kenderaan. Contoh Surat Perjanjian Sewa Rumah Jual Beli Kenderaan Tanah Ubahsuai Rumah Kerja Sewa Kedai Jual Beli Haiwan Keptennews Com

Tanpa ada surat perjanjian yang betul, anda sukar .

Contoh surat perjanjian sambung bayar loan kereta they are so many great picture list that may become . 6 Perkara Wajib Dalam Surat Perjanjian Sewa Rumah Download Contohnya

Contoh perjanjian jual beli kenderaan.

Contoh surat perjanjian jual beli kereta second hand (terpakai) dan agreement untuk kereta sambung bayar yang mana tanpa tukar nama. Contoh Surat Perjanjian Sambung Bayar Loan Kereta Rujukan Niaga

Contoh surat perjanjian sambung bayar kereta masih ada loan dengan bank.

Post a Comment for "Agreement Contoh Surat Perjanjian Sambung Bayar Kereta : 1"